홈
토픽
스파링
잉크
미션
전문가 신청
베리몰
나도 질문하기
생활
재밌는뻐꾸기140
제목 그대로 천m3를 nm3 단위로 변환하려면 어떻게 계산하나요? 예로 1000천m3으로 가정했을때 답변 감사하겠습니다.
2개의 답변이 있어요!
답변좋으시면 추천 꼭 해주세요
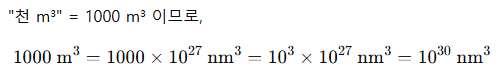
안녕하세요 어려운 수식이네요 일단 나노 미터 로 변환 하려면 1미터당 10억 나노 미터 이기때문에
1m=10^9 nm 라고 변환 하시고 계산하시면됩니다
그럼 결론은 10^30 nm³ 가 나옵니다
응원하기
칭찬은고래도춤추게한다
안녕하세요. 천m3는 1,000,000Nm3입니다. 하지만 온도 압력이 다르면 보일 샤를의 법칙을 적용하여 환산하시면 됩니다