양자화학 선형결합으로 나타내는 것 질문

안녕하세요. 제가 양자화학을 공부중인데 저 문제 어떻게 풀어야 하나요ㅠㅠ? 단순히 오비탈 라벨링을 하라는 소리는 아닌거죠? 도와주세요 ㅠㅠ

2개의 답변이 있어요!

  • 안녕하세요. 이중철 과학기술전문가입니다.

    이 문제의 핵심은 두 전자가 서로 구별되지 않는 입자라는 점입니다. 그래서 3)3)번 상태 α(1)β(2)α(1)β(2)와 4)4)번 상태 β(1)α(2)β(1)α(2)를 그냥 따로 쓰는 것이 아니라, 서로를 합친 선형결합으로 써야 합니다. 전자의 파동함수는 이런 경우 대칭/반대칭 조합으로 표현하며, 반대칭 조합은 스핀 상태의 기본적인 형식 중 하나입니다.


    1. 핵심 개념: '누가 1번이고 누가 2번인지 알 수 없다!'

    1) 전자의 구별 불가능성 (Indistinguishability)

    - 거시 세계에서는 공 두 개에 '1번', '2번'이라고 이름을 붙일 수 있지만, 미시 세계의 전자는 완전히 똑같이 생겨서 어떤 전자가 1번이고 어떤 전자가 2번인지 구분할 수 없습니다.

    • 상태 3): α(1)β(2) → '1번이 up(α), 2번이 down(β)'이라는 뜻

    • 상태 4): β(1)α(2) → '1번이 down(β), 2번이 up(α)'이라는 뜻

    - 하지만, 우리는 누가 1번인지 모르기 때문에, 3번과 4번처럼 전자를 특정해서 표현하는 방식은 물리적으로 불가능합니다.

    2) 선형 결합 (Linear Combination)

    • 누가 up이고 누가 down인지 알 수 없으므로, 두 상태를 공평하게 섞어서 표현해야 합니다.

    • 이것을 '선형 결합'이라고 합니다.

    • 쉽게 말해, '1번이 up일 수도 있고, 2번이 up일 수도 있는 상태를 하나로 합치는 것'입니다.

    3) 대칭성과 반대칭성

    • 전자는 '페르미온'이라는 입자여서, 두 전자의 위치나 스핀을 서로 바꾸었을 때 전체 식의 부호가 그대로이거나(대칭), 부호가 반대로 바뀌어야(반대칭) 합니다.

    • 이를 위해 두 상태를 더하거나(+) 빼는(-) 두 가지 조합이 나옵니다.

    2. 문제 풀이 과정

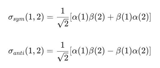
    문제에서 주어진 두 상태 α(1)β(2)와 β(1)α(2)를 사용하여 새로운 상태를 만듭니다.

    1) 단계 1: 두 상태를 섞기 (더하기와 빼기)

    • ① 두 상태를 단순히 더한 경우: α(1)β(2) + β(1)α(2)

    • ② 두 상태를 단순히 뺀 경우: α(1)β(2) -β(1)α(2)

    2) 단계 2: 정규화 상수 적용하기

    • 확률적으로 이 상태가 존재할 전체 합을 1로 맞춰주기 위해 앞에 상수를 곱합니다.

    • 문제에서 제시한 정규화 상수 '1/root{2}'를 각 식의 앞에 붙여줍니다.

    3) 단계 3: 물리적 의미 부여

    • 더한 (+) 상태: 두 전자의 자리를 바꿔도 식의 부호가 변하지 않는 대칭(Symmetric) 상태입니다. (나중에 '트리플렛' 상태의 일부가 됩니다.)

    • 뺀 (-) 상태: 두 전자의 자리를 바꾸면 식 전체의 부호가 [-]로 바뀌는 반대칭(Antisymmetric) 상태입니다. (이것이 우리가 흔히 아는 '싱글렛' 상태입니다.)

    3. 최종 정답

    전자의 구별 불가능성을 고려하여 3)과 4)를 선형 결합으로 나타낸 상태는 다음과 같은 두 가지입니다.

    ※ 핵심 개념 꿀Tip

    • 전자 1번과 2번을 구별할 수 없기 때문에, '누가 up인지' 특정하지 않고 두 가능성을 더하거나 빼서 공평하게 만든 식이 바로 '선형 결합'이라는 사실을 기억하기!

    채택 보상으로 165베리 받았어요.

    채택된 답변
  • 안녕하세요.

    분자 내 전자의 상태를 나타내는 분자 궤도함수는 개별 원자 궤도함수들의 합과 차로 표현한답니다.

    이를 선형결합이라고 부르는데, 복잡한 전자의 움직임을 수학적으로 조금 더 쉽게 풀기 위한 유용한 방법이지요.

    서로 다른 원자의 파동 함수가 공간에서 중첩되면서 더 안정적인 결합 궤도를 형성하는 과정이라고 이해하시면 좋겠습니다.

    이 원리를 통해 우리는 분자의 구조와 결합의 세기를 더욱 명확히 파악할 수 있게 된답니다.

    감사합니다.