홈
토픽
스파링
잉크
미션
전문가 신청
베리몰
나도 질문하기
학문
앙 엔지니어띠
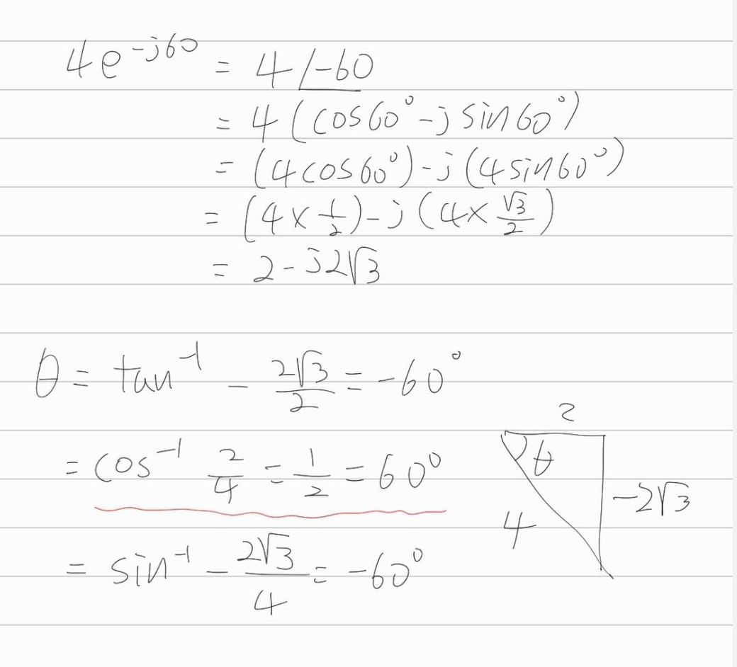
그림의 직각 삼각형에서 밑줄 친 cos-¹만 60°가 나오는데 -60°가 나오려면 어떻게 하나요?????????????
1개의 답변이 있어요!
탈퇴한 사용자
안녕하세요. 조일현 전문가입니다.
cos−1 함수만을 사용하여 결과 값을 얻을 수는 없지만,
sin−1 또는 tan−1 함수를 이용하거나 복소수의 극형식을 활용해야 합니다.
평가
응원하기