기발한나방250
- 전기·전자학문Q. 회로의 Δ - Y 변환에 대해서 질문이 있습니다문제 답을 알고 싶은 건 아니고, a번에서 R2, R3, R5를 Y-to-∆로 변환하라는데, 저 모양을 어떻게 Y로 봐야 할까요? R3를 y축 대칭이동 시켜서 Y가 왼쪽으로 90도 회전한 모양으로 봐야 하나요, 아니면 Y가 아래로 뒤집히고, R2가 위쪽을/R3와 R5가 아래쪽을 보는 Y모양으로 봐야 할까요?
- 전기·전자학문Q. 키르히호프의 법칙에 대해서 질문 있습니다v_0 를 하기 위해서 15KΩ방향과 12KΩ 방향에 흐르는 전류를 구했는데요. 풀이 과정을 보니 키르히호프 전압 법칙을 이용해서 v_0 = 12000* I_2 - 15000 * I_1 로 해서 구하더라고요. 궁금한 것은 2KΩ과 4KΩ이 연결되어 있지 않은데 어떻게 폐구간으로 보고 키르히호프 전압 법칙을 사용하는 것인지 알고 싶습니다.
- 전기·전자학문Q. 이 회로에서 등가 저항을 구하는 법에 대해서 알고 싶습니다.첫 번째 사진에서 맨 오른쪽 60Ω에 대해서 직렬 연결 되어 있는 30Ω, 18Ω과 더하지 않고 60Ω기준 오른쪽 0옴과 병렬이기 때문에 60옴은 고려하지 않더라고요. 왜 그렇게 하는지 궁금합니다.두 번째 사진에선 빨간색으로 선이 생겼을 때, 그 뒤로는 전류가 흐르지 않는다고 하던데, 그렇다면 총 저항을 계산할 땐 25Ω, 50Ω 이 병렬 연결 된 것으로 생각하고 구하면 되는 건가요?
- 전기·전자학문Q. 전기 회로의 전류의 방향에 대해서 궁금합니다오른쪽 종속 전압원에 도달하는 전류를 알고 싶은데요. 15A인거를 머리로는 알겠는데 6A 전류원에서 나오는 전류가 왼쪽과 오른쪽으로, 9A 전류원의 전류가 위쪽과 오른쪽으로 나뉘어 흐르기 때문에 온전한 15A가 도달하지 못해야 하는 것 아닌가요?
- 산업안전산업기사자격증Q. 작업환경측정 시료채취 근로자 수 예시동일 작업근로자 수가 10인을 초과하는 경우 매 5인당 1인을 추가 측정하라는데, 만약 20명이면 5명당 1명 해서 4명을 채취하는 건가요?
- 토목공학학문Q. 동바리 하중 계산 방법에 대해 궁금합니다거푸집 하중을 고정하중+충격하중+작업하중으로 구했을 때, 1000kg/m^2라고 한다면, 동바리 하중 N=1000*a*b 던데 a와 b가 어떤 수치인가요? 동바리 간격인가요?
- 전기·전자학문Q. 아두이노의 충격센서로 진동의 변화를 감지할 수 있나요?충격 센서가 진동, 진폭을 감지하여 신호를 전달한다고 설명되어 있는데 이것으로 기계가 망가졌을 때 진동이 변화한 것을 감지할 수 있나요?
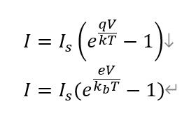
- 전기·전자학문Q. 다이오드 온도 센서의 전류 방정식 질문두 식 모두 다이오드 온도 센서의 전류 방정식이라고 하는데 왜 다른건가요? 전자전기 수업이 아니라서 간단하게 넘어갔는데 찾아봐도 모르겠어서 여쭤봅니다
- 산업안전산업기사자격증Q. 공시료 무게가 줄어든 경우에 보정 방법시료를 채취할 때 공시료의 양이 처음 2g에서 분석 결과 1g이 된 경우에는 채취한 시료의 양-(-1) 으로 계산을 해서 +1을 해야 하나요? 공시료 값이 줄어든 경우에는 계산을 어떻게 해야되나요?
- 화학학문Q. 밀폐된 공간에서 유출된 기체의 농도 문제1000m^3 의 공간에서 이산화탄소(분자량 44g/mol) 20L가 유출되어 공기와 완전히 혼합되었다. 환기가 되지 않는 이 공간에서 이산화탄소의 농도를 ppm으로 구하여라인데 어떻게 푸는 건가요?