[대학]우유로 치즈 만들기 실험, 구연산 적정 첨가량 계산에 오류가 있나요?

대학교 실험 실습 후 교수님이 우유에 넣었던 구연산이 0.04%인 이유를 산 해리상수 계산법으로 계산해 레포트를 제출하라고 하시는데


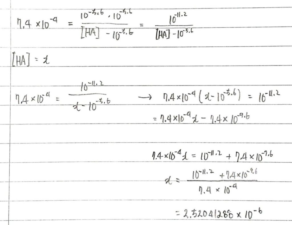
이건 교수님이 세워주신 식이고

그걸 제가 정리한게 이 사진 입니다.


Ka는 교수님이 사용한 구연산에서 알려주셨고 pĤ는 5.6으로 계산하였을때 몰농도가 나와서




몰농도를 퍼센트 농도로 계산하니 0.04%가 아니라 사진과 같은 결과가 나왔습니다. 저 퍼센트 농도 계산법은 수용액을 기준으로 한다곤해도 1000뱨는 너무 큰 차이 인것 같습니다.


1. 산 해리상수 계산법에서 [HA]-10^-5.6 부분에서 -10^-5.6을 한이유가 무엇인가요?


2. 몰농도를 퍼센트 농도로 변환하였을때 퍼센트가 실험값과 다릅니다. 수용액과 우유의 해리 차이로 발생한 차이라면 *1000을 하는것이 올바른 것인가요?


1개의 답변이 있어요!

  • 안녕하세요. 서종현 전문가입니다.

    • 구연산의 산 해리상수 계산에서 \[HA]-10^-5.6 부분은 평형 상태에서 해리되지 않은 산의 활성 농도를 반영하기 위해 뺀것입니다. 즉, 전체 산 농도 중 해리되어 있지 않은 부분을 제외하여 실제 유효한 농도를 계산하려는 것입니다.

    • 물 농도를 퍼센트 농도로 변환할때 1000을 곱하는 이유는 물농도가 단위가 mol/L이기 때문에 리터(L)기준인 수용액 부피와 우유의 실제 밀도 차이에서 기인합니다. 우유가 밀도가 물과 약간 다르지만, 실험에서 1L를 1kg으로 가정하면 큰 차이가 없으므로 일반적으로 물농도 mol/L x 분자량(g/mol) x 100%로 퍼센트 농도를 구하며, 별도로 1000을 곱하지 않습니다. 만약 부피 대신 질량 기준으로 농도를 계산한다면 밀도 차이를 고려해 변환이 필요할수있으나, 단순히 1000을 곱하는 것은 정확하지 않습니다. 실험값과 차이가 크다면 용액의 조성, 농도 정의 방식, 우유의 물리적 특성 차이 등을 다시 확인해야 합니다.