아하
  • 토픽

  • 스파링

  • 잉크

  • 미션


학문

살짝쿵협력을잘하는신입사원

살짝쿵협력을잘하는신입사원

고1 수학 문제 풀어주세요ㅠㅠ 어려워요

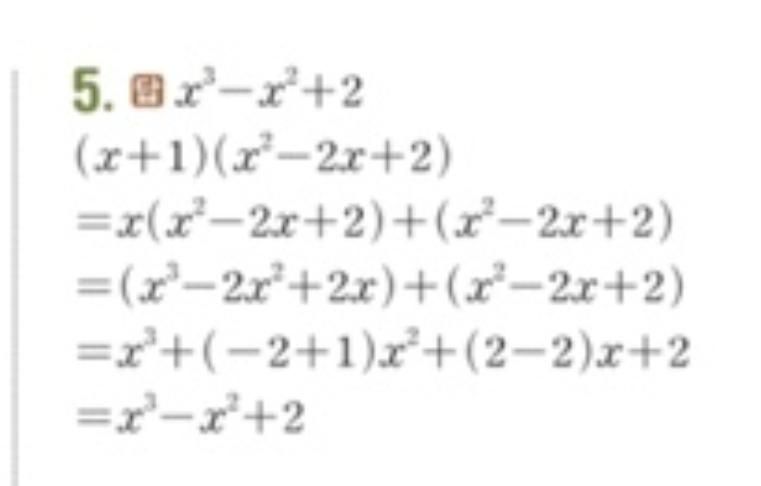
(x+1) (x²-2x+2)계산하는데

(x³-2x²+2x)+(x²-2x+2)이

x³+(-2+1)x²+(2-2)x+2가 왜 되죠?

1은 왜생긴거고 (2-2)x+2는 어떻게 계산해요? 그리규 왜 숫자가 따로 이동했죠?

아직 답변이 없어요.