회로이론 어드미턴스 계산에 대해서 질문있습니다.

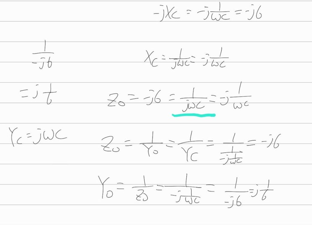
1. 1번 빨간줄 부분에 -jBL=-j(1/ωL)이라서 -j(1/4)인가요?

2. 2번 파란줄 부분에 jBc=jωc이고 ωc가 -j6인데 풀이에는 -j가 아닌 +j(1/6)인지 모르겠습니다. 두 번째가 이해가 잘 안가네요 상세한 설명 부탁드립니다.

3. 2번 Y0를 YR+Yc=(1/R)+jωc로 보고 풀어서 (1/8)-j6이 나오는데 풀이랑 다른점이 이해가 안가네요.

4.Xc를 전개하면 두 번째 공식을 전개한 사진과 같나요?

5.초록색 줄 친 부분에 1/jωc인데 jωc에 -j6을 대입하는 것인가요? jωc×-j6을 해서 j²6ωc가 되는것이 아니죠?

1개의 답변이 있어요!

  • 안녕하세요. 조일현 전문가입니다.

    1. 네 맞습니다. 빨간색 부분은 인덕터 서셉턴스를 나타내고 있습니다.

      주어진 회로 a에서 인덕터의 임피던스는 j4Ω 으로 ωL=4를 의미합니다.

    2. −j6은 임피던스 ZC​이지, ωC가 아니며 커패시터 임피던스는 순수 허수이며 음수입니다.

      또한 커패시터의 서셉턴스 BC는 향상 양수입니다.

    3. 2번과 마찬가지로 −j6이 나온 이유는 커패시터의 임피던스를 잘못 추가했기 때문입니다.

    4. XC 은 1/ωC 임을 알 수 있습니다.

      두번째 이미지는 커패시티브 임피던스 ZC 표현이며 리액턴스 XC​가 아닙니다.

    5. 1/jωC는 그 자체가 −j6입니다. jωC는 그 자체가 j/6입니다