일반화학 착이온과 용해도/ 평형농도 질문
문제를 어떻게 푸는지가 궁금한게 아니라 답이 왜 저렇게 해석되는지 궁금해서 질문 글 남깁니다...
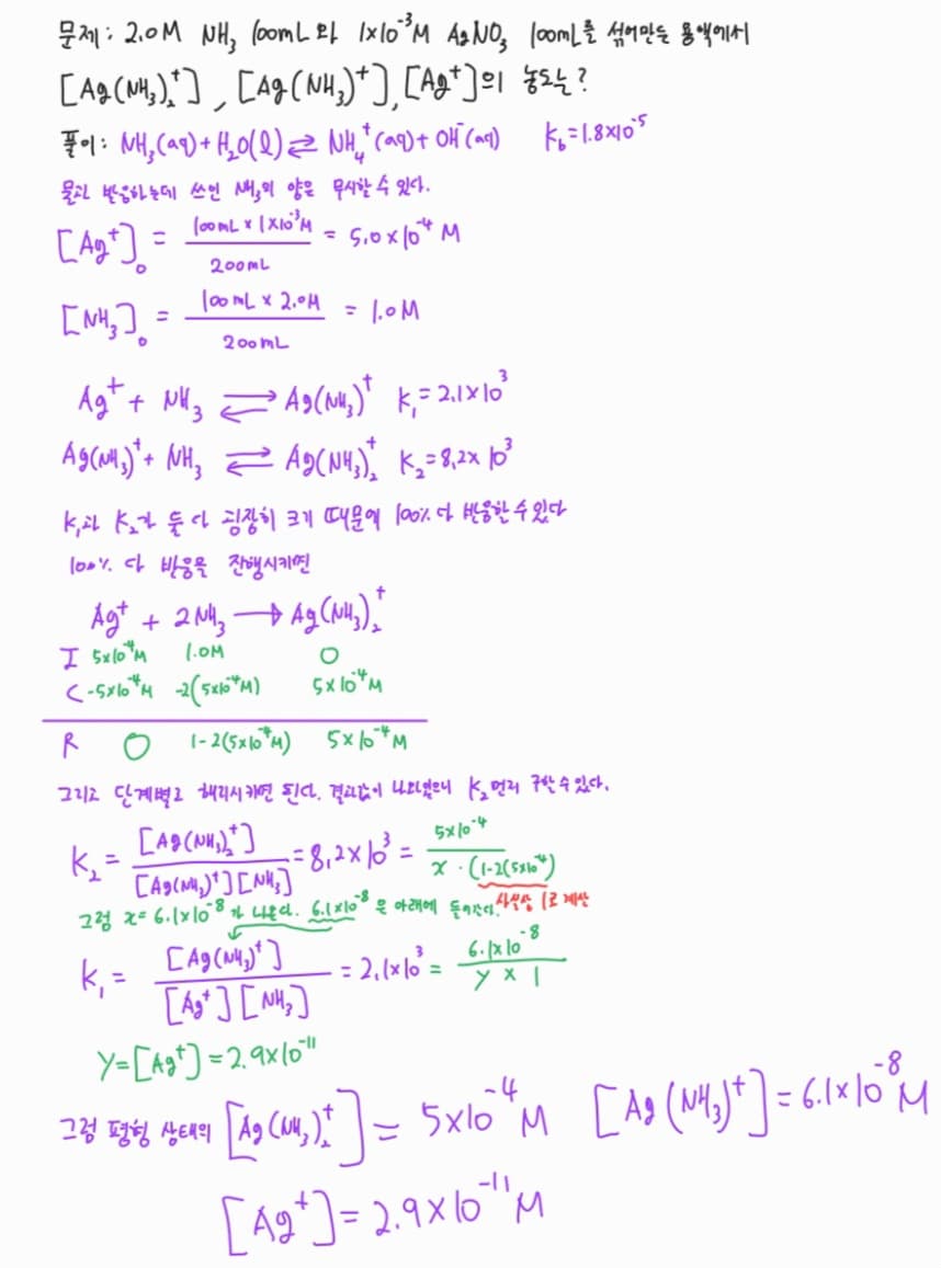
강의에서 풀이와 답이 이렇게 나와있는데요.
여기서 [Ag(NH3)+] = 6.1 x 10^(-8)M은 평형상수가 K2인 화학 반응 당시의 농도고 [Ag+] = 2.9 x 10^(-11)M은 평형상수가 K1인 화학반응 당시의 농도라고 해석되어야 한다고 생각하지, 모든 반응이 끝났을 때의 평형농도라고 저는 생각이 안드는데요. 저 2개가 모든 반응이 끝났을 때의 [Ag(NH3)+],[Ag+] 평형농도라고 여겨지는 이유를 알려주세요 ㅠㅠ
안녕하세요. 김찬우 전문가입니다.
은거울 반응에 대한 반응식이네요
질산은 용액에 암모니아수를 충분히 넣게되면 반응이 진행되면서 Ag(NH3)2OH 가 생성됩니다. 최초에 질산은 용액에 암모니아수를 넣으면 Ag2O 로 앙금이 생성되지만 지속적으로 암모니아수를 넣게되면 Ag(NH2)2OH 가 과포화 되어 생성이 됩니다.
화학반응식에서 1차반응은 농도가 줄어들게 되면서 반응속도가 줄어들게 되어 평형에 이르게 되는 반응입니다. 이러한 그래프는 2차 함수 형태이고 곡선을 그리게 됩니다.
사실 알고 계신데로 완벽한 평형, 즉 반응이 끝났을 때 더이상 반응이 없이 멈춰져 있는 상황은 아닙니다. 추가적으로 농도를 높혀도 더이상 반응이 일어나지 않을때, 생성물이 생성되지 않을때를 평형이라고 정의하기 때문에 실제 내부에서는 안정을 찾기 위한 반응이 일어나곤 있지만, 1차반응의 정의로 보았을 때는 평형에 도달하였기 때문에 평형 농도라고 부르고 계산을 하게 됩니다.
그럼 답변 읽어주셔서 감사드립니다~! 더 궁금한게 있으시면 언제든지 문의 주십시요:)
1명 평가

