회로이론 어드미턴스와 임피던스 변환에 대해 질문이요.

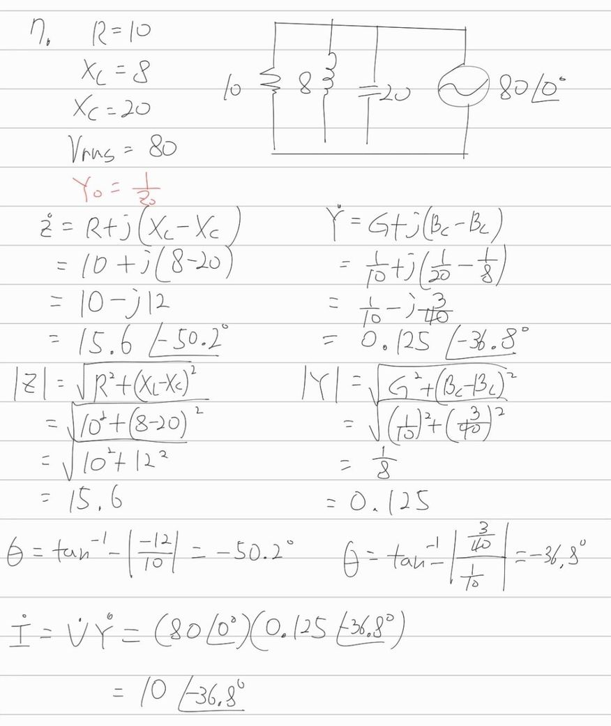
왼쪽에 임피던스를 구해서 역수를 취한 값이 오른쪽의 어드미턴스 이니까 똑같이 역수를 취해 보았는데 답이 다릅니다. 어떻게 하면 같은 답이 나오나요?

1개의 답변이 있어요!

  • 안녕하세요. 조일현 전문가입니다.

    왼쪽 회로는 직렬이고 오른쪽 회로는 병렬 회로이기에 직렬 임피던스와 병렬 어드미턴스는

    직접적인 역수 관계가 있지 않아 보입니다.

    직렬 임피던스를 어드미턴스로 변환하거나 반대로 병렬 어드미턴스를 임피던스로 변환한다면

    실수부와 허수를 고려하여 변환해야 합니다.

    왼쪽 직렬 임피던스 값을 극좌표로 변환 후 역수로 취하는 것은 오른쪽 값과 같아질 수 없어 보입니다.