위용있는벌새231
- 생활꿀팁생활Q. 두 동경의 위치관계 관련 질문 드립니다두 동경의 위치 관계를 그림으로 나타내어 생각하면 두 동경이 나타내는 각 사이의 관계를 쉽게 파악할 수 있다고 하는데 여기서 두 동경의 위치 관계는 왜 각의 합 또는 차를 일반각으로 나타내야 한다는 것인가요...?
- 생활꿀팁생활Q. 일반각에서 동경에 관한 질문 드립니다 ㅠ좌표평면에서 두 동경의 위치 관계를 나타낼 수 있다고 하는데 원래 동경이 하나가 아니라 두개인가요...? 너무 헷갈려서 질문 드립니다...ㅠㅠㅠㅜ
- 생활꿀팁생활Q. 도형의 평행이동 증명 관련 질문 드립니다 라고 하는데 함수 f(x,y) = 0 에서 x = x'-m 이고y = y'-n 인데 그럼 x좌표에 x'-m를 넣고 y좌표에y'-n를 넣은 거니까 그냥 f(x,y) 아닌가요? f(x,y) = f(x-m, y-n)일텐데 어떻게 g(x',y')가 되는건가요...? 여쭤봤더니 x , y 에 대한 식이 아니라x' , y' 에 대한 식으로 바뀐 거라고 하는데... 도무지 이해가 안가네요...ㅠㅠㅠ
- 생활꿀팁생활Q. 상용로그의 정수 부분과 소수 부분 조건 관련 질문 드립니다 상용로그의 정수 부분과 소수 부분을 나타낼 때의 조건이 어떤 의미를 나타내는 것인지 잘모르겠네요... 괄호안의 전제조건이 뜻하는게 무엇인가요 ㅠㅠ
- 생활꿀팁생활Q. 로그의 여러가지 성질 증명 관련 질문 드립니다로그의 여러가지 성질 증명 부분 중 4번에서 파란 밑줄 친 부분이 어떻게 두 곱의 형태로 바뀔 수 있는 것인지 이해가 잘 가지 않네요...ㅠㅠ
- 기타 고민상담고민상담Q. 매부리코가 다쳐서 심화될 수 있나요매부리코가 살짝 있는 경우에서 벽에 아플정도로 박거나 다치면 더 심화될 가능성이 있나요? 아니면 매부리코는 그저 선천적인 것인가요?
- 생활꿀팁생활Q. 로그 밑의 변환 공식 관련 질문 드립니다 밑줄친 부분이 무엇을 말하고 싶은 것인지 잘 모르겠네요... log_c a가 0이 아니라는 것이 어떤 의미로 말하는 것인지 이해가 가지 않아요...ㅠㅠ
- 생활꿀팁생활Q. 유리수인 지수의 정의 관련 질문 드립니다a>0이고 n이 2와 같거나 큰 정수 일때,a^(1/n) = n루트a 가 된다고 하는데 그 이유를 잘 모르겠네요...ㅠㅠ...
- 생활꿀팁생활Q. 지수의 식 변형 공식 관련 질문 드립니다(1) x^a = y^b일 때 → x = y^(b/a), y = x^(a/b) (단, x>0, y>0, ab ≠ 0)(2) a^x = b^y = c^z = k일 때 → a = k^(1/x), b = k^(1/y), c = k(1/z) (단, a>0, b>0, c>0, xyz ≠ 0)에서 두 공식의 전제조건이 왜 (단, x>0, y>0, ab ≠ 0), (단, a>0, b>0, c>0, xyz ≠ 0) 처럼 주어지는지 잘 모르겠어요...ㅠㅠ
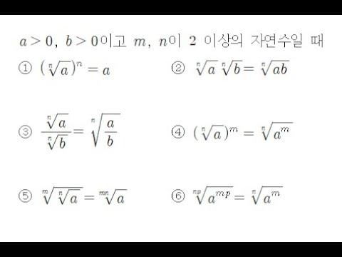
- 생활꿀팁생활Q. 거듭제곱근의 성질 관련 질문 드립니다 거듭제곱근의 성질에서 1번이 이해가 되지 않아서 질문 드립니다... n제곱근 a의 n제곱이 왜 사라지고 값이 a만 남게 되는 건가요? ㅠㅠ