홈
토픽
스파링
잉크
미션
전문가 신청
베리몰
나도 질문하기
전기·전자
학문
전기·전자
전문가 신청
답변 등록순
최신순
전기·전자
학문
강원도의빠워
25.05.06
카카오톡의 오픈채팅은 저장이 안되나요?
오픈채팅방의 대화내역이 다 카카오서버에 저장되는거 아닌가요? 생각해보면 일반적인 대화도 다 카카오서버의 저장되는게 맞나요?
8명
의 전문가가 답변했어요
전기·전자
학문
아직도주목받는한라봉
25.05.06
트랜지스터 증폭률에 영향 주는것들엔 뭐가 있을까요
말그대로입니다! BJT트랜지스터중에 pnp npn형 트랜지스터에서 증폭률에 영향을 주는 요소는 무엇이 있을까요 이미터 공통 회로랑 베이스 공통 회로 중심으로 설명부탁드립니다
5명
의 전문가가 답변했어요
전기·전자
학문
짙푸른보석새82
25.05.06
백열전구 켜는 방법이나 백열전구를 설치하려고 할때 추가로 필요한 장비는 무엇인지 알려주세요.
제가 집에서 유정란을 부화중인데요, 곧 병아리가 태어나서 병아리 사육장을 만들려고 합니다. 병아리의 보온을 위해 백열전구를 켜주라고 하던데.. 전구를 어디 콘센트에 연결해야 하나요..? 연결하려면 어떤 장비나 부품을 사야할까요? 스티로폼 박스 천장에 구멍을 뚫고 백열전구를 꽂거나 매달 생각인데 거기에 맞는 백열전구 점등용 부품/장비는 어떤게 있을까요?
7명
의 전문가가 답변했어요
전기·전자
학문
어린관박쥐58
25.05.06
상온 초전도체 개발이 현실화된다면 우리 생활은 어떻게 달라지나요?
전기저항이 사라지는 초전도체가 이러한 특별한 성질을 갖는 이유는 무엇이며, 상온 초전도체 개발이 현실화된다면 우리의 생활은 어떻게 획기적으로 변화하게 될지궁금합니다
5명
의 전문가가 답변했어요
전기·전자
학문
유난히명확한꽃게
25.05.06
케이블의 굵기에 따른 차이점이 존재하나요?
안녕하십니까..우리가 전선 케이블을 보면 굵기가 단순히 굵은게 있고 얇은게 있는데요.이런 경우 어떤 차이가 있어서 이렇게 만드는 것인지 궁금합니다.알려주세요~
8명
의 전문가가 답변했어요
전기·전자
학문
강원도의빠워
25.05.05
북한은 해킹강국이 된게 맞나요???
이번 에스케이텔레콤 유심정보 유출사건도 북한 해킹 소행이라는 말도 있던데요 북한이 정말 해킹강국인가요? 강국이라면 어떻게 강국이 되었나요?
7명
의 전문가가 답변했어요
전기·전자
학문
앙 엔지니어띠
25.05.05
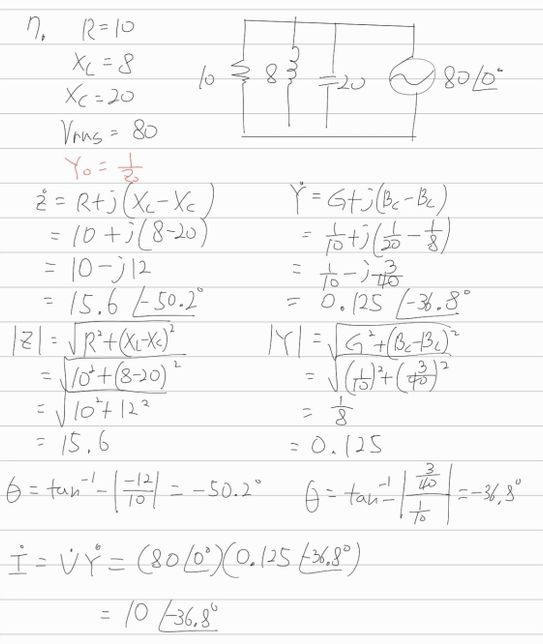
회로이론 어드미턴스와 임피던스 변환에 대해 질문이요.
왼쪽에 임피던스를 구해서 역수를 취한 값이 오른쪽의 어드미턴스 이니까 똑같이 역수를 취해 보았는데 답이 다릅니다. 어떻게 하면 같은 답이 나오나요?
1명
의 전문가가 답변했어요
전기·전자
학문
정중한물총새210
25.05.05
그럼 IDS나 IPS를 거쳐서는 별표(*)표시가 나타나지 않나요?
안녕하세요....라우터의 정책이나 방화벽, 정책, 혼선 등에 의해서 *가 나타나신다고 하셨잖아요...그럼 라우터 하단에 설치되는 IDS나 IPS상을 지날때는 * 표시가 않나타나나요?가르침 부탁드립니다...
2명
의 전문가가 답변했어요
전기·전자
학문
앙 엔지니어띠
25.05.05
임피던스 휘스톤 브릿지 질문있습니다.
첫 번째 사진의 문제를 참고하시어 두 번째 사진에 밑줄 친 줄이 왜 저렇게 전개가 되었는지 이해가 안 가서 자세하게 알려주세요.세 번째 사진은 왼쪽 파란줄이 정석인데 오른쪽 빨간줄방법처럼 하면 왜 안되나요?
1명
의 전문가가 답변했어요
전기·전자
학문
정중한물총새210
25.05.05
사설아이피가 내부용으로만 쓰인다고 하는데...라우터와 라우터 연결시에도 사설 아이피가 쓰일수가 있잖아요?
사설아이피가 내부용으로만 쓰인다고 하는데...라우터와 라우터 연결시에도 사설 아이피가 쓰일수가 있잖아요?그래서 랜용으로만 쓰인다는게 약간 틀리지 않나 하는 생각을 해 봤어요.....제 생각이 맞을까요?
3명
의 전문가가 답변했어요